Edit page

Primitivação (e Técnicas)

Primitivas

warning

Em geral, não é possível primitivar uma função. No entanto, continua a haver muitas funções contínuas para o qual a operação é possível, que iremos estudar.

Seja DfRD_f\subset\R um aberto e f:DfRf:D_f\to\R. Diz-se que FF é uma primitiva de ff se F(x)=f(x)F'(x)=f(x), para qualquer xDfx\in D_f.

Nesse caso, escreve-se F=PfF=\text Pf ou, também, F(x)=f(x)dxF(x)=\int f(x) \text dx e diz-se que ff é uma função primitivável.

Qualquer função contínua num conjunto aberto é primitivável.

👉 Uma primitiva não é única. É fácil de obter uma função com a mesma primitiva de ff. Assim, Pf\text P f deve ser visto como retornando uma função qualquer, de entre um número infinito de funções, as quais têm a mesma derivada.

Frequentemente, a primitiva é determinada por reconhecimento da derivada. Isto implica que se deve saber muito bem as derivadas das várias funções.

Usam-se várias "técnicas" para determinar a primitiva de uma função, explicadas abaixo.

Propriedades da Primitivação

  • P(αf)=α(Pf),αR\text P(\alpha f)=\alpha (\text Pf), \alpha\in\R, para qualquer função primitivável ff.
  • P(f+g)=Pf+Pg\text P(f +g )=\text Pf + \text P g

Fórmula de Primitivação da Potência

Se uu é uma função diferenciável em todo o seu domínio tal que uαu^\alpha é diferenciável em todo o domínio de uu, então:

P(uuα)={uα+1α+1se α1loguse α=1P(u'u^\alpha)=\begin{cases} \frac{u^{\alpha+1}}{\alpha+1}&\text{se }\alpha\ne -1\\ \log |u|&\text{se }\alpha= -1\\ \end{cases}

Esta fórmula resume-se a identificar a função uu, a função uu' e a constante α\alpha.

Aplicação da Fórmula
P(x31)=P(1x31)=x3232\def\P{\text P} \P(x^{31})=\P(1\cdot x^{31})=\frac{x^{32}}{32}
P(x(x2+1)10)=12P((2x)(x2+1)10)=12P(uu10)=12u1111=(1+x2)1122\def\P{\text P} \P(x(x^2+1)^{10})=\frac 12\P\big((2x)(x^2+1)^{10}\big)=\frac12\P(u'u^{10})=\frac12\cdot\frac{u^{11}}{11}=\frac{(1+x^2)^{11}}{22}
P(tgx)=P(sinxcosx)=P[(sinx)(cosx)1]=logcosx\def\P{\text P} \P(\tg x)=\P\bigg(\frac{\sin x}{\cos x}\bigg)=-\P\bigg[(-\sin x)(\cos x)^{-1}\bigg]=-\log|\cos x|

Primitivação de Exponenciais

Por vezes não necessitamos de nenhuma "técnica", apenas de reconhecer a derivada.

(eu)=ueuP(ueu)=eu(e^u)'=u'e^u\quad\longleftrightarrow\quad \text P(u'e^u)=e^u

Abaixo encontram-se mais alguns exemplos com exponenciais, que têm a particularidade de a sua derivada ser esta mesma.

Aplicação da Fórmula
P5x=1log5P[(log5)5x]=5xlog5ouP5x=1log5P[(log5)exlog5]=exlog5log5=5xlog5\def\P{\text P} \P5^x=\frac 1{\log 5}\P\big[(\log 5)5^x\big]=\frac{5^x}{\log 5}\\\text{ou}\\ \P 5^x=\frac 1{\log 5}\P\big[(\log 5)e^{x\log 5}\big]=\frac{e^{x\log5}}{\log 5}=\frac{5^x}{\log 5}
P(ex+ex)=P(exeex)=eex\def\P{\text P} \P(e^{x+e^x})=\P(e^xe^{e^x})=e^{e^x}

Quase unicidade da primitiva num intervalo

Definição

Seja ff uma função definida num intervalo aberto e FF e GG duas primitivas de ff. Então, FGF-G é uma função constante, nesse intervalo.

No entanto, isto já não é verdade caso a função esteja definida num conjunto aberto que não é um intervalo. Por exemplo:

f:R\ZR,f(x)=cosxf:\R\backslash \Z\to\R\quad,\quad f(x)=\cos x

Facilmente vemos que a seguinte função, primitiva de ff, é limitada:

F:R\ZR,F(x)=sinxF:\R\backslash\Z\to\R\quad,\quad F(x)=\sin x

No entanto, a seguinte função, também primitiva de ff, não é limitada:

F2:R\ZR,F2(x)=sinx+k se x]k,k+1[,kZF_2:\R\backslash\Z\to\R\quad,\quad F_2(x)=\sin x+k\text{ se }x\in]k,k+1[,k\in\Z

Quase unicidade

Conclui-se, assim, que uma função pode ter uma primitiva limitada e outra não limitada, cuja diferença não é, nem de longe nem de perto, uma constante.

Vários exemplos de cálculos de derivadas

Identificação da Derivada

(cosu)=usinuP(usinu)=cosuPsinx=P((1)(sinx))=cosx\def\P{\text P} (\cos u)'=-u'\sin u\quad\longleftrightarrow\quad\P(u'\sin u)=-\cos u\\ \P\sin x=\P\big((1)\cdot(\sin x)\big)=-\cos x
(sinu)=ucosuP(ucosu)=sinuP[xcos(x2+1)]=12P[(2x)cos(x2+1)]=12sin(x2+1)\def\P{\text P} (\sin u)'=u'\cos u\quad\longleftrightarrow\quad\P(u'\cos u)=\sin u\\ \P\big[x\cdot\cos( x^2+1)\big]=\frac12\P\big[(2x)\cdot\cos(x^2+1)\big]=\frac12\sin (x^2+1)

Fórmula de Primitivação da Potência

P((sinx)cos2x)=P[(sinx)(cosx)2]=(cosx)33=13cos3x\def\P{\text P} \P\big((\sin x)\cdot\cos^2x\big)=-\P\big[(-\sin x)\cdot(\cos x)^2\big]=-\frac{(\cos x)^3}3=-\frac13\cos^3x
Pexex+1=P[(ex)(ex+1)1]=logex+1\def\P{\text P} \P\frac{e^x}{e^x+1}=\P\big[(e^x)(e^x+1)^{-1}\big]=\log|e^x+1|

Propriedade da Primitiva da Soma

Pcos3x=P(cosxcos2x)=P[cosx(1sin2x)]==PcosxP(cosxsin2x)=sinxsin3x3\def\P{\text P} \P\cos^3x=\P(\cos x \cdot\cos^2x)=\P\big[\cos x\cdot(1-\sin^2x)\big]=\\=\P\cos x - \P(\cos x \sin^2 x)= \sin x-\frac{\sin^3x}3

(atenção que abaixo usa-se a fórmula de bisseção do seno)

Psin2x=P1cos(2x)2=P1212Pcos(2x)=P1214P[2cos(2x)]==12x14sin(2x)\def\P{\text P} \P\sin^2x=\P\frac{1-\cos(2x)}2=\P\frac12-\frac12\P\cos(2x)=\P\frac12-\frac14\P\big[2\cos(2x)\big]=\\ =\frac12x-\frac14\sin(2x)
(tgu)=ucos2uPucos2u=tguPtg4x=P(tg2xtg2x)=P[tg2x(1cos2x1)]==P[(1cos2x)tg2x]P(tg2x)=P[(1cos2x)tg2x]P(1cos2x1)==tg3x3tgx+x\def\P{\text P} (\tg u)'=\frac{u'}{\cos ^2u}\quad\longleftrightarrow\quad\P\frac{u'}{\cos^2 u}=\tg u\\ \P\tg ^4x=\P(\tg ^2x\cdot\tg^2x)=\P\bigg[\tg^2x\bigg(\frac 1{cos^2x}-1\bigg)\bigg]=\\ =\P\bigg[\bigg(\frac1{cos^2x}\bigg)\tg^2x\bigg]-\P(\tg^2x)=\P\bigg[\bigg(\frac1{cos^2x}\bigg)\tg^2x\bigg]-\P\bigg(\frac1{cos^2x}-1\bigg)=\\= \frac{\tg^3x}{3}-\tg x+x
(arcsinu)=u1u2Pu1u2=arcsinuP1x1x2=P11x2+12P[(2x)(1x2)12]==arcsinx+12(1x2)1212=arcsinx+1x2\def\P{\text P} (\arcsin u)'=\frac{u'}{\sqrt{ 1-u^2}}\quad\longleftrightarrow\quad\P\frac{u'}{\sqrt{1-u^2}}=\arcsin u\\ \P\frac{1-x}{\sqrt{1-x^2}}=\P\frac{1}{\sqrt{1-x^2}}+\frac12 \P\bigg[(-2x)\cdot(1-x^2)^{-\frac12}\bigg]=\\= \arcsin x+\frac12\cdot\frac{(1-x^2)^{\frac12}}{\frac12}=\arcsin x+\sqrt{1-x^2}
(arctgu)=u1+u2Pu1+u2arctguPx+2x2+1=12P[(2x)(1+x2)1]+P2x2+1=12log(1+x2)+2arctgx\def\P{\text P} (\arctg u)'=\frac{u'}{ 1+u^2}\quad\longleftrightarrow\quad\P\frac{u'}{1+u^2}\arctg u\\ \P\frac{x+2}{x^2+1}= \frac12\P\bigg[(2x)(1+x^2)^{-1}\bigg]+\P\frac2{x^2+1}=\frac12\cdot\log(1+x^2)+2\arctg x

Fórmula de Primitivação por Partes

Sejam uu e vv diferenciáveis num conjunto aberto CC tais que a função uvu\cdot v' é primitivável. Então, uv{u'\cdot v} é uma função primitivável e P(uv)=uvP(uv)\def\P{\text P} \P(\smartcolor{orange}{u'}\cdot \smartcolor{blue}v)=u\cdot v-\P(\smartcolor{green}{u\cdot v'}).

A escolha das funções uu' e vv deve ser, se possível, respeitando as condições:

  • A função u\smartcolor{orange}{u'} deve ser facilmente primitivável
  • A função v\smartcolor{blue}{v} tem que ser diferenciável e é conveniente que a sua derivada conduza a uma expressão mais simples
  • A função uv\smartcolor{green}{u\cdot v'} deve ser facilmente primitivável
Exemplos

Exemplo 1

P(2xlog(x+1))=(x2log(x+1))P(x21x+1)==(x2log(x+1))P(x1+1x+1)==x2log(x+1)x22+xlog(x+1)==(x21)log(x+1)12(x1)2+14Aqui, usa-se a divisa˜o de polinoˊmios: x2x+1=x1+1x+1P(2x\log(x+1))=(x^2\log(x+1))-P\bigg(x^2\cdot\frac1{x+1}\bigg)=\\ =(x^2\log(x+1))-P\bigg(x-1+\frac1{x+1}\bigg)=\\=x^2\log(x+1)-\frac{x^2}2+x-\log(x+1)=\\= (x^2-1)\log(x+1)-\frac12(x-1)^2+\frac14\\ \text{Aqui, usa-se a divisão de polinómios: }\frac{x^2}{x+1}=x-1+\frac1{x+1}

Exemplo 2 (importante)

P(e2xcos(3x))=(12e2xcos(3x))P(12e2x(3sin(3x)))==12e2xcos(3x)+32P(e2xsin(3x))==12e2xcos(3x)+32[12e2xsin(3x)P(12e2x3cos(3x))]==12e2xcos(3x)+34e2xsen(3x)94P(e2xcos(3x))P(e^{2x}\cos(3x))=\bigg(\frac12e^{2x}\cos(3x)\bigg)-P\bigg(\frac12e^{2x}(-3\sin(3x))\bigg)=\\ =\frac12e^{2x}\cos(3x)+\frac32P(e^{2x}\sin(3x))=\\= \frac12e^{2x}\cos(3x)+\frac32\bigg[\frac12 e^{2x}\sin(3x)-P\bigg(\frac12 e^{2x}3\cos(3x)\bigg)\bigg]=\\ =\frac{1}{2} \mathrm{e}^{2 x} \cos (3 x)+\frac{3}{4} \mathrm{e}^{2 x} \operatorname{sen}(3 x)-\frac{9}{4} \mathrm{P}\left(\mathrm{e}^{2 x} \cos (3 x)\right)

Considerando F(x)=P(e2xcos(3x))F(x)=\mathrm{P}\left(\mathrm{e}^{2 x} \cos (3 x)\right):

F(x)=12e2xcos(3x)+34e2xsen(3x)94F(x)134F(x)=12e2xcos(3x)+34e2xsen(3x)F(x)=e2x13(2cos(3x)+3sen(3x))F(x)=\frac{1}{2} \mathrm{e}^{2 x} \cos (3 x)+\frac{3}{4} \mathrm{e}^{2 x} \operatorname{sen}(3 x)-\frac{9}{4} F(x)\Leftrightarrow \\\Leftrightarrow \frac{13}{4} F(x)=\frac{1}{2} \mathrm{e}^{2 x} \cos (3 x)+\frac{3}{4} \mathrm{e}^{2 x} \operatorname{sen}(3 x) \Leftrightarrow \\\Leftrightarrow F(x)=\frac{\mathrm{e}^{2 x}}{13}(2 \cos (3 x)+3 \operatorname{sen}(3 x))

Primitivas por Recorrência

Podem encontrar exemplos de primitivas por recorrência nas páginas 2 e 3 do PDF da aula 22.

Primitivas de uma Função Racional

Para utilizar esta técnica, é necessário que a função racional seja uma função racional própria, isto é, que o grau do numerador seja inferior ao grau do denominador.

Caso não se verifique, efetua-se a divisão inteira, de forma a obter o seguinte:

P(x)Q(x)=Q1(x)+R(x)Q(x)\frac{P(x)}{Q(x)}=Q_1(x)+\frac{R(x)}{Q(x)}

A fração R(x)Q(x)\frac{R(x)}{Q(x)} já é própria, e Q1(x)Q_1(x) é um polinómio, sendo assim fácil de primitivar.

Exemplo

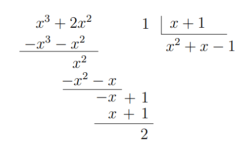
Quociente polinomial

A igualdade abaixo pode ser verificada através do quociente polinomial acima.

x3+2x2+1x+1=x2+x1+2x+1\frac{x^3+2x^2+1}{x+1}=x^2+x-1+\frac2{x+1}
P(x3+2x2+1x+1)=Px2+PxP(1)+P2x+1=x33+x22x+2logx+1P\bigg(\frac{x^3+2x^2+1}{x+1}\bigg)=P x^2+P x-P(1)+P\frac2{x+1}=\frac{x^3}3+\frac{x^2}2-x+2\log|x+1|

Abaixo estão os passos para efetuar a primitivação de uma função racional P(x)Q(x)\frac{P(x)}{Q(x)}:

  • Se o grau de PP é maior ou igual que o grau de QQ, efetuar a divisão inteira para transformar numa função racional própria:

    Q1(x)+P1(x)Q(x)Q_1(x)+\frac{P_1(x)}{Q(x)}

    Senão, usar a função racional como está:

    P1(x)Q(x)\frac{P_1(x)}{Q(x)}
  • Fatorizar os fatores de Q(x)Q(x) na forma

    (xα)mou((xp)2+q2))m(x-\alpha)^m\quad\text{ou}\quad\bigg((x-p)^2+q^2)\bigg)^m

    👉 A segunda notação é usada para descrever pares de fatores complexos (imaginários), em que pp é a parte real e qq a parte imaginária. Abaixo está um exemplo. Na prática, não irá ser necessário utilizar esta segunda notação em CDI-I.

    Exemplo
    x2+4x+5=0    x=2±ix2+4x+5=(x(2))2+12)x^2+4x+5=0\iff x=-2\pm i\\ x^2+4x+5=\big(x-(-2))^2+1^2\big)
    x4+8x3+26x2+40x+25    x=2±ix4+8x3+26x2+40x+25=(x(2))2+12)2Neste caso temos dois pares de fatores 2±ix^4+8x^3+26x^2+40x+25\iff x=-2\pm i\\ x^4+8x^3+26x^2+40x+25=\big(x-(-2))^2+1^2\big)^2\\ \text{Neste caso temos dois pares de fatores }-2\pm i
  • Decompor os fatores em frações simples, determinando os coeficientes da decomposição, quer pelo método dos coeficientes indeterminados, quer usando métodos expeditos.

  • Primitivar cada uma das frações simples obtidas, podendo-se recorrer a outras regras aprendidas anteriormente.

Decomposição em Frações Simples

tip

Nos exemplos abaixo usa-se ?? em vez de escolher um valor para P(x)P(x) para simplificar os exemplos.

Para cada raiz diferente (isto é, de multiplicidade 1) da função Q(x)Q(x) "separa-se" da seguinte maneira:

?(xa)(xb)=Axa+Bxb+\frac{?}{(x-a)(x-b)\dots}=\frac{A}{x-a}+\frac{B}{x-b}+\dots

Para cada raiz real de multiplicidade mm acrescentam-se mm frações simples da forma:

A1xα+A2(xα)2+A3(xα)3++Am(xα)m\frac{A_1}{x-\alpha}+\frac{A_2}{(x-\alpha)^2}+\frac{A_3}{(x-\alpha)^3}+\dots+\frac{A_m}{(x-\alpha)^m}

Para cada par de raízes complexas conjungadas p±qip\pm qi com multiplicidade mm adicionam-se mm frações da forma (irrelevante em CDI-I):

B1x+C1(xp)2+q2+B2x+C2((xp)2+q2)2++Bmx+Cm((xp)2+q2)m\frac{B_{1} x+C_{1}}{(x-p)^{2}+q^{2}}+\frac{B_{2} x+C_{2}}{\left((x-p)^{2}+q^{2}\right)^{2}}+\cdots+\frac{B_{m} x+C_{m}}{\left((x-p)^{2}+q^{2}\right)^{m}}
Exemplos
x3x2=x2(x1)?x3x2=Ax1+Bx+Cx2x^3-x^2=x^2(x-1)\\ \frac{?}{x^3-x^2}=\frac A{x-1}+\frac B{x}+\frac C{x^2}

Como 00 é uma raiz de multiplicidade 22 (aparece duas vezes na forma fatorizada), escreve-se como Bx+Cx2\frac B{x}+\frac C{x^2} na decomposição em frações simples.


x5+2x3+x=x(x4+2x2+1)=x(x2+1)2As raıˊzes sa˜o: 0 e±i((x0)2+12)2=(x2+1)2(raiz complexa)x^5+2x^3+x=x(x^4+2x^2+1)=x(x^2+1)^2\\ \text{As raízes são: }0 \text{ e} \pm i\\ \tag{raiz complexa}((x-0)^2+1^2)^2=(x^2+1)^2
?x5+2x3+x=Ax+Bx+Cx2+1+Dx+E(x2+1)2\frac{?}{x^5+2x^3+x}=\frac{A}x+\frac{Bx+C}{x^2+1}+\frac{Dx+E}{(x^2+1)^2}

Na realidade, não é necessário descobrir o valor das raízes complexas, apenas é necessário saber fatorizar o polinómio. Isto simplifica bastante os cálculos.

Determinar os coeficientes da decomposição

Após decompor a função racional em funções simples, necessitamos de descobrir o valor dos coeficientes de decomposição (A,B,C,)A, B, C,\dots).

Para chegarmos a valores para os coeficientes, necessitamos de reduzir todos os denominadores ao denominador do termo da esquerda, para transformarmos a igualdade numa identidade polinomial.

Por exemplo:

1x2+7x+12=Ax+3+Bx+41(x+3)(x+4)=Ax+3+Bx+41=A(x+3)(x+4)x+3+B(x+3)(x+4)x+41=A(x+4)+B(x+3)\begin{aligned} \frac{1}{x^2+7x+12}&=\frac{A}{x+3}+\frac{B}{x+4}\\ \frac{1}{(x+3)(x+4)}&=\frac{A}{x+3}+\frac{B}{x+4}\\ 1&=\frac{A(x+3)(x+4)}{x+3}+\frac{B(x+3)(x+4)}{x+4}\\ 1&=A(x+4)+B(x+3) \end{aligned}

Após obtermos a identidade polinomial, usamos os dois métodos abaixo, por ordem, para obtermos os valores dos coeficientes:

  • Métodos Expeditos

    Neste método, substitui-se xx por cada uma das raízes reais, de forma a obter alguns (ou todos) os coeficientes.

    Continuando com o exemplo anterior, no qual as raízes de Q(x)Q(x) são 4-4 e 3-3.

    x=4    1=A(4+4)+B(4+3)    1=B    B=1x=3    1=A(3+4)+B(3+3)    1=Ax=-4\implies 1=A(-4+4)+B(-4+3)\implies 1=-B\implies B=-1\\ x=-3\implies 1=A(-3+4)+B(-3+3)\implies 1=A

    Logo, no exemplo assim, A=1A=1 e B=1B=-1.

    Podemos confirmar que os cálculos estão corretos pois a seguinte igualdade é verdadeira:

    1x2+7x+12=1x+3+1x+4\frac{1}{x^2+7x+12}=\frac{1}{x+3}+\frac{-1}{x+4}

    ⬇️ Caso este método não seja suficiente para determinar todos os coeficientes, passa-se para o método seguinte.

  • Método dos Coeficientes Indeterminados

    Usualmente já se conhecem os valores de alguns dos coeficientes, sendo este método utilizado para descobrir os restantes (usualmente quando há raízes de multiplicidade superior a 1).

    Assim, para os coeficientes que restam, escolhe-se uma das potências de xx associadas a esse coeficiente.

    Para simplificar os cálculos, normalmente começa-se pela maior potência ou pelo termo constante, se tal for possível.

    Tomando como exemplo a identidade polinomial,

    3x+1=Ax2+Bx(x1)+C(x1)3x+1=Ax^2+Bx(x-1)+C(x-1)

    em que já se sabe que A=4A=4 e C=1C=-1 (pelos métodos expeditos).

    As potências x2x^2 e xx estão associadas ao coeficiente por determinar, o coeficiente BB, pois Bx(x1)=B(x2x){Bx(x-1)=B(x^2-x)}.

    Logo, escolhendo apenas os termos em x2x^2:

    0x2+3x+1=Ax2+B(x2+x)+C(0x2+x1)(x2)0=A+B    B=A    B=4\boxed{0x^2}+3x+1=A\boxed{x^2}+B(\boxed{x^2}+x)+C(\boxed{0x^2}+x-1)\\ (x^2)\longrightarrow 0=A+B\iff B=-A\iff B=-4
Exemplos
2x+1=A(x2+1)+(Bx+C)x2x+1=A(x^2+1)+(Bx+C)x

Em que sabemos, pelos métodos expeditos, que A=1A=1.

(x2)0=A+B    B=1(x)C=2(x^2)\longrightarrow 0=A+B\implies B=-1\\ (x)\longrightarrow C=2

x+1=A(x2+1)2+(Bx+C)x(x2+1)+(Dx+E)x=A(x4+2x2+1)+B(x4+x2)+C(x3+x)+Dx2+Ex\begin{aligned}x+1&=A(x^2+1)^2+(Bx+C)x(x^2+1)+(Dx+E)x\\ &=A(x^4+2x^2+1)+B(x^4+x^2)+C(x^3+x)+Dx^2+Ex\end{aligned}

Em que sabemos, pelos métodos expeditos, que A=1A=1

(x4)0=A+B    B=1(x3)0=C(x2)0=2A+B+D    D=1(x)1=C+E    E=1\begin{aligned} (x^4)&\longrightarrow&&0=A+B\implies B=-1\\ (x^3)&\longrightarrow&&0=C\\ (x^2)&\longrightarrow&&0=2A+B+D\implies D=-1\\ (x)&\longrightarrow&&1=C+E\implies E=1 \end{aligned}

Finalizar a primitiva de uma função racional

Após transformarmos a função racional em várias funções simples, podemos usar as regras da primitivação para separarmos em várias primitivas. Aqui vai depender de caso para caso, mas no geral, vão-se obter primitivas simples de calcular, pelo menos comparada com a função original.

Tomando novamente o primeiro exemplo:

1x2+7x+12=1x+3+1x+4\frac{1}{x^2+7x+12}=\frac{1}{x+3}+\frac{-1}{x+4}\\
P(1x2+7x+12)=P(1x+3+1x+4)=P(1x+3)P(1x+4)=logx+3logx+4=logx+3x+4\def\P{\text P} \begin{aligned} \P\bigg(\frac{1}{x^2+7x+12}\bigg) &=\P\bigg(\frac{1}{x+3}+\frac{-1}{x+4}\bigg)\\ &=\P\bigg(\frac{1}{x+3}\bigg)-\P\bigg(\frac{1}{x+4}\bigg)\\ &=\log|x+3|-\log|x+4|\\ &=\log\bigg|\frac{x+3}{x+4}\bigg| \end{aligned}

AVISO

A aula 22 tem imensos exemplos, da página 6-12, que se recomenda ver também.

Primitivação por Substituição

warning

Trata-se de um método geral de primitivação, que deve ser usado apenas quando os outros métodos não funcionam.

Fórmula da primitivação por substituição - versão 1

Sejam I,JRI,J\subset \R dois intervalos abertos e φ:JI\varphi:J\to I uma função bijetiva e diferenciável com derivada não nula em JJ. Seja, ainda, f:IRf:I\to\R uma função em II. Então, se (fφ)φ(f\circ \varphi)\cdot \varphi' é uma função primitivável em JJ, ff é primitivável em II e

P(f)=[P((fφ)φ)]φ1P(f)=\bigg[P\bigg((f\circ\varphi)\cdot\varphi'\bigg)\bigg]\circ\varphi^{-1}

👉 Esta notação fica mais fácil de compreender com o exemplo abaixo.

Fórmula da primitivação por substituição - versão 2

Sejam I,JRI,J\subset \R dois intervalos abertos e φ:JI\varphi:J\to I uma função bijetiva e diferenciável. Seja, ainda, f:IRf:I\to\R uma função primitivável em II. Então, (fφ)φ(f\circ \varphi)\cdot \varphi' é uma função primitivável em JJ e

P(f)=[P((fφ)φ)]φ1P(f)=\bigg[P\bigg((f\circ\varphi)\cdot\varphi'\bigg)\bigg]\circ\varphi^{-1}

Esta fórmula tem um resultado semelhante, mas com condições levemente diferentes (nomeadamente elimina a restrição de a derivada de φ\varphi não se anular).

Exemplo
P(1x+1)P\bigg(\frac 1{\sqrt x +1}\bigg)

Utiliza-se uma mudança de variável x=φ(t)=t2x=\varphi(t)=t^2, com t>0t>0, para haver injetividade.

P(1t2+1(2t))=P(2tt+1)(1)P\bigg(\frac 1 {\sqrt{t^2}+1}\cdot (2t)\bigg)=P\bigg(\frac{2t}{t+1}\bigg)\tag {1}

Pela divisão inteira:

P(2tt+1)=P(22t+1)=2t2logt+1 P\bigg(\frac{2t}{t+1}\bigg)=P\bigg(2-\frac{2}{t+1}\bigg)=2t-2\log|t+1|

Como t=φ1(x)=xt=\varphi^{-1}(x)=\sqrt x:

P(1x+1)=2x2log(x+1)(2)P\bigg(\frac 1 {\sqrt x + 1}\bigg)=2\sqrt x - 2\log(\sqrt x + 1)\tag 2

💡 Pode-se assim observar melhor a fórmula da primitivação por substituição mais facilmente. No passo (1), foi calculado P((fφ)φ)\def\P{\text P} \P((f\circ \varphi)\cdot\varphi'), com uma mudança de variável. Se seguida, no passo (2), foi feita normalmente a mudança de variável, correspondente à composta por φ1\varphi^{-1} na fórmula original.

Notação do Integral

Visto que se faz mudanças de variável, é usual utilizar a notação de integral, que indica qual é a a variável que se está a considerar.

Reescrevendo assim o exemplo acima, sendo  ⁣dx=φ(t) ⁣dt=2t ⁣dt\def\d{\mathop{}\!\mathrm d}\d x=\varphi'(t)\d t=2t\d t,

1x+1 ⁣dx=1t2+1(2t) ⁣dt=22t+1 ⁣dt=2t2logt+1==2x2log(x+1)\def\d{\mathop{}\!\mathrm d} \int\frac{1}{\sqrt x + 1} \d x=\int\frac{ 1}{\sqrt{t^2}+1}\cdot(2t)\d t=\int 2-\frac{2}{t+1}\d t=2t-2\log|t+1|=\\=2\sqrt x-2\log(\sqrt x + 1)

Isto acontece porque:

φ= ⁣dx ⁣dt ⁣dx= ⁣dx ⁣dt ⁣dt     ⁣dx=φ(t) ⁣dt\def\d{\mathop{}\!\mathrm d} \varphi'=\frac{\d x}{\d t}\\ \d x = \frac{\d x}{\d t}\cdot \d t\iff \d x=\varphi ' (t)\d t

Substituições Clássicas

Abaixo seguem-se algumas substituições "clássicas", isto é, algumas técnicas que são normalmente utilizadas. Neste caso, com raízes em que o radicando corresponde a uma função quadrática de xx.

a2b2(xc)2 ⁣dxUsa-se x=c+absint,t]π2,π2[\def\d{\mathop{}\!\mathrm d} \int\sqrt{a^2-b^2(x-c)^2}\d x \\ \text{Usa-se }x=c+\frac ab \sin t\quad, \quad t\in\bigg]-\frac \pi2,\frac\pi 2\bigg[
a2+b2(xc)2 ⁣dxUsa-se x=c+absht,tROUUsa-se x=c+abtgt,t]π2,π2[\def\d{\mathop{}\!\mathrm d} \int\sqrt{a^2+b^2(x-c)^2}\d x \\ \text{Usa-se }x=c+\frac ab \sh t\quad, \quad t\in\R\\ \text{OU}\\ \text{Usa-se }x=c+\frac ab \tg t\quad, \quad t\in\bigg]-\frac \pi2,\frac\pi 2\bigg[

A escolha da substituição que contém o seno hiperbólico requer o conhecimento da fórmula da bisseção do seno hiperbólico.

b2(xc)2a2 ⁣dxUsa-se x=c+abcht,tR+ouUsa-se x=c+abcost,t]0,π[\def\d{\mathop{}\!\mathrm d} \int\sqrt{b^2(x-c)^2-a^2}\d x \\ \text{Usa-se }x=c+\frac ab \ch t\quad, \quad t\in\R^+\\ \text{ou}\\ \text{Usa-se }x=c+\frac a{b \cos t}\quad, \quad t\in]0,\pi[

A escolha da substituição que contém o cosseno hiperbólico requer o conhecimento da fórmula da bisseção do cosseno hiperbólico.

Primitivas de raízes de polinómio do segundo grau

É, ainda, possível determinar primitivas de raízes de polinómios do segundo grau usando substituições meramente racionais e que transformam a primitiva dada numa primitiva de uma função racional.

Se α\alpha for uma raiz de ax2+bx+cax^2+bx+c, pode-se determinar

ax2+bx+c ⁣dx\def\d{\mathop{}\!\mathrm d} \int\sqrt{ax ^2+bx+c}\d x

Fazendo a substituição definida por ax2+bx+c=(xα)t\sqrt{ax^2+bx+c}=(x-\alpha)t, a qual transforma a primitiva numa primitiva de uma função racional.

Caso o polinómio não tenha raízes, pode-se aplicar uma das seguintes substituições:

ax2+bx+c=ax+t,se a>0ouax2+bx+c=c+xt,se c>0\sqrt{ax^2+bx+c}=\sqrt a x+ t\quad,\quad \text{se }a>0\\\text{ou}\\ \sqrt{ax^2+bx+c}=\sqrt c +xt\quad,\quad \text{se }c>0
Exemplos

Os exemplos abaixo estão explicados em mais detalhe das páginas 5-11 do PDF da aula 23

Exemplo 1

x+1x ⁣dx\def\d{\mathop{}\!\mathrm d} \int\sqrt{\frac{x+1}x}\d x

Considerando o seguinte (atendendo às condições da fórmula):

t2=x+1xt>0t^2=\frac{x+1}x\quad t>0

Resolvendo em ordem a xx:

xt2=1+x    x=1t21t>0xt^2=1+x\iff x=\frac{1}{t^2-1}\quad t>0

Diferenciando os membros:

 ⁣dx=2t(t21)2 ⁣dt\def\d{\mathop{}\!\mathrm d} \d x = \frac{-2t}{(t^2-1)^2}\d t

E, finalmente, substituindo na primitiva:

x+1x ⁣dx=1+11t212t(t21)2 ⁣dt=t22t2(t21)2 ⁣dt==2t2(t21)2 ⁣dt\def\d{\mathop{}\!\mathrm d} \int\sqrt{\frac{x+1}x}\d x=\int \sqrt{1+\frac{1}{\frac{1}{t^2-1}}}\cdot \frac{-2t}{(t^2-1)^2}\d t=\int\sqrt{t^2}\cdot\frac{-2t^2}{(t^2-1)^2}\d t=\\=\int\frac{-2t^2}{(t^2-1)^2}\d t

Aplicando agora a Primitivação de Funções Racionais (cálculos completos no PDF):

2t2(t21)2=121t1121(t1)2+121t+1121(t+1)2\frac{-2t^2}{(t^2-1)^2}=-\frac 12\cdot\frac1{t-1}-\frac12\cdot\frac1{(t-1)^2}+\frac12\cdot\frac1{t+1}-\frac12\cdot\frac1{(t+1)^2}

Finalizando as contas:

x+1x ⁣dx=121t1121(t1)2+121t+1121(t+1)2 ⁣dt==12logt1+121t1+12logt+1+121t+1=12logt+1t1+tt21\def\d{\mathop{}\!\mathrm d} \int\sqrt{\frac{x+1}x}\d x=\int-\frac 12\cdot\frac1{t-1}-\frac12\cdot\frac1{(t-1)^2}+\frac12\cdot\frac1{t+1}-\frac12\cdot\frac1{(t+1)^2}\d t=\\ =-\frac12\log|t-1|+\frac12\frac{1}{t-1}+\frac12\log|t+1|+\frac12\frac1{t+1}=\frac12\log\bigg|\frac{t+1}{t-1}\bigg|+\frac{t}{t^2-1}

Substituindo t=x+1xt=\sqrt{\frac{x+1}x} e após simplificar:

x+1x ⁣dx=12log(2x+1+2x2+x)+xxx2+x\def\d{\mathop{}\!\mathrm d} \int\sqrt{\frac{x+1}x}\d x=\frac12\log(|2x+1|+2\sqrt{x^2+x})+\frac{|x|}x\cdot\sqrt{x^2+x}

Exemplo 2

No caso abaixo, pretende-se obter uma função racional por substituição, e, por isso, faz-se a substituição por x=tmx=t^m onde mm é o mínimo múltiplo comum dos índices das raízes, com t>0t>0, se mm é par, para ter injetividade.

1+x4x3 ⁣dx\def\d{\mathop{}\!\mathrm d} \int\frac{1+\sqrt x}{4-\sqrt[3]x}\d x

Neste caso, como o mínimo múltiplo comum entre 2 e 3 é 6, faz-se x=t6,t>0x=t^6,t>0:

 ⁣dx=6t5 ⁣dt\def\d{\mathop{}\!\mathrm d} \d x=6t^5\d t

Então:

1+x4x3 ⁣dx=1+t64t636t5 ⁣dt=1+t34t26t5 ⁣dt\def\d{\mathop{}\!\mathrm d} \int\frac{1+\sqrt x}{4-\sqrt[3]x}\d x=\int\frac{1+\sqrt {t^6}}{4-\sqrt[3]{t^6}}\cdot 6t^5\d t=\int\frac{1+t^3}{4-t^2}\cdot 6t^5\d t

A partir daqui é só efetuar a Primitivação de Funções Racionais!

Exemplo 3 - substituição clássica

94x2 ⁣dx\def\d{\mathop{}\!\mathrm d} \int\sqrt{9-4x^2}\d x

Utilizando a substituição:

x=32sint,t]π2,π2[ ⁣dx=(32cost) ⁣dtx=\frac 32 \sin t\quad, \quad t\in\bigg]-\frac \pi2,\frac\pi 2\bigg[\\ \def\d{\mathop{}\!\mathrm d} \d x=\bigg(\frac 32\cos t\bigg)\d t

Logo:

94x2 ⁣dx=99sin2t(32cost) ⁣dt=92cos2tcost ⁣dt==92cos2t ⁣dt\def\d{\mathop{}\!\mathrm d} \int\sqrt{9-4x^2}\d x =\int\sqrt{9-9\sin^2t}\bigg(\frac 32\cos t\bigg)\d t =\int\frac 92\sqrt{\cos^2 t}\cos t \d t =\\=\frac92\int\cos ^2t\d t

Pois t]π2,π2[t\in]-\frac\pi 2,\frac\pi2[

92cos2t ⁣dt=941+cos(2t) ⁣dt=94(t+12sin(2t))==94[arcsin(2x3)12sin(2arcsin(2x3))]==94[arcsin(2x3)2x314x29]\def\d{\mathop{}\!\mathrm d} \frac92\int\cos ^2t\d t =\frac 94\int1+\cos(2t)\d t=\frac94\bigg(t+\frac 12\sin (2t)\bigg) =\\=\frac94\bigg[\arcsin\bigg(\frac{2x}3\bigg)-\frac12\sin\bigg(2\arcsin\bigg(\frac{2x}3\bigg)\bigg)\bigg] =\\=\frac94\bigg[\arcsin\bigg(\frac{2x}3\bigg)-\frac{2x}3\sqrt{1-\frac{4x^2}9}\bigg]

Pois sin(2arcsin(u))=2u1u2\sin(2\arcsin(u))=2u\sqrt{1-u^2}.

Exemplo 4 - Primitivas de raízes de polinómio do segundo grau

Utilizando, novamente, o mesmo exemplo:

94x2 ⁣dx\def\d{\mathop{}\!\mathrm d} \int\sqrt{9-4x^2}\d x

Como α=32\alpha =\frac32 é uma raiz de 94x29-4x^2, utilizando a fórmula ax2+bx+c=(xα)t\sqrt{ax^2+bx+c}=(x-\alpha)t:

94x2=t(32x)(32x)(3+2x)=t(32x)(32x)(3+2x)=t2(32x)23+2x=t2(32x)3+2x=3t22xt22x+2xt2=3t23x(2+2t2)=3t23x=3t232t2+2\begin{aligned} \sqrt{9-4x^2}&=t(3-2x)\\ \sqrt{(3-2x)(3+2x)}&=t(3-2x)\\ (3-2x)(3+2x)&=t^2(3-2x)^2\\ 3+2x&=t^2(3-2x)\\ 3+2x&=3t^2-2xt^2\\ 2x+2xt^2&=3t^2-3\\ x(2+2t^2)&=3t^2-3\\ x&=\frac{3t^2-3}{2t^2+2} \end{aligned}
 ⁣dx=6t(t2+1)2 ⁣dt\def\d{\mathop{}\!\mathrm d} \d x=\frac{6t}{(t^2+1)^2}\d t

Substituindo na expressão inicial:

94x2 ⁣dx=t(33t23t2+1)6t(t2+1)2 ⁣dt\def\d{\mathop{}\!\mathrm d} \int\sqrt{9-4x^2}\d x =\int t\bigg(3-\frac{3t^2-3}{t^2+1}\bigg)\frac{6t}{(t^2+1)^2}\d t

E agora é só finalizar pela Primitivação de Funções Racionais.

Exemplo 5

Existe outro caso em que a função a primitivar já tem o aspeto (fφ1)(φ1)(f \circ \varphi ^{-1})\cdot(\varphi^{-1})'.

logx+log2xx(log2x1) ⁣dx\def\d{\mathop{}\!\mathrm d} \int\frac{\log x + \log^2x}{x(\log^2x-1)}\d x

Onde logx=t\log x= t e 1x ⁣dx= ⁣dt\def\d{\mathop{}\!\mathrm d} \frac 1x\d x=\d t.

Substituindo na primitiva:

logx+log2xlog2x11x ⁣dx=t+t2t21 ⁣dt\def\d{\mathop{}\!\mathrm d} \int\frac{\log x + \log^2x}{\log^2x-1}\cdot\frac1x\d x =\int\frac{t+t^2}{t^2-1}\d t

E agora é só finalizar pela Primitivação de Funções Racionais.

Exemplo 6

Caso se pretenda primitivar uma função racional de senos e cossenos, isto é, uma fração em que quer o numerador quer o denominador são combinações lineares de potências do seno e do cosseno, a substituição definida por

tgx2=t\tg \frac x 2=t

transforma a primitiva numa primitiva de função racional pois resulta em

sinx=2t1+t2ecosx=1t21+t2\sin x=\frac{2t}{1+t^2}\quad\text{e}\quad\cos x=\frac{1-t^2}{1+t^2}

e conduz a

 ⁣dx=21+t2 ⁣dt\def\d{\mathop{}\!\mathrm d} \d x=\frac2{1+t^2}\d t

pois

tgx2=t    x2=arctgt    x=2arctgt\tg \frac x 2=t\iff \frac x2=\arctg t\iff x=2\arctg t

PDFs: