Edit page

Diferenciabilidade

Ponto Fixo de uma Função

Definição

Ponto fixo de uma função: Sejam DfRD_f \subset \R e f:DfRf: D_f \rightarrow \R uma função real de variável real. Diz-se que um ponto x0Dfx_0 \in D_f é um ponto fixo de ff se a aplicação de ff a esse ponto não o altera, isto é, se f(x0)=x0f(x_0) = x_0.

Exemplo - TVI para descobrir o ponto fixo de uma função

Considere-se, agora, uma função f:[0,1][0,1]f : [0, 1] \rightarrow [0, 1], contínua. Sendo g a função definida por

g:[0,1]R,g(x)=f(x)x,g : [0, 1] \rightarrow \R , g(x) = f(x) − x,

gg é contínua, por ser a diferença de duas funções contínuas,

g(0)=f(0)0g(1)=f(1)10.\begin{array}{c} g(0) = f(0) ≥ 0 \wedge g(1) = f(1) − 1 ≤ 0. \end{array}

Então, uma das três afirmações é verdadeira:

  • g(0)=0g(0) = 0 e, portanto, f(0)=0f(0) = 0, logo ff tem um ponto fixo em 0;
  • g(1)=0g(1) = 0 e, portanto, f(1)=1f(1) = 1, logo ff tem um ponto fixo em 1;
  • g(1)<0<g(0)g(1) < 0 < g(0) e, pelo TVI, o contradomínio de g,g([0,1])g, g([0, 1]), contém o intervalo
[g(1),g(0)]0,[g(1), g(0)] \ni 0,

logo gg tem um zero e, nesse ponto, ff tem um ponto fixo.
Como é óbvio, em qualquer um dos casos ff tem um ponto fixo.

Exemplo - Weierstrass para descobrir o ponto fixo de uma função

Seja, agora,

f:RR,f(x)=ex1ex+1,f : \R \rightarrow \R , f(x) = \frac{e^x - 1}{e^x + 1},

Como ff é contínua em R\R, existe uma vizinhança de cada ponto em R\R na qual ff é limitada. Como a reunião de infinitos conjuntos limitados não tem que ser, e em geral não é, limitada, não é possível, contudo, garantir, deste modo, que ff é limitada.
Por outro lado, a existência de

f()=limxex1ex+1=1Rf(−\infty) = \lim_{x \rightarrow -\infty} \frac{e^x - 1}{e^x + 1} = -1 \in \R

garante que existe um R1R+R_1 \in \R^+ tal que ff é limitada em VR1()=],1R1[V_{R_1}(- \infty) = ] - \infty, -\frac{1}{R_1} [.

Método da Bissecção

Ao utilizar o TVI, este método permite diminuirmos o intervalo onde pode estar o ponto que pretendermos verificar que pertence ao contra domínio de uma função. Para quem conhece, este método funciona de forma semelhante à binary search.

Funciona da seguinte maneira:

  1. Dividir o intervalo (e.g. [1,1][-1, 1]) ao meio ([1,0][-1, 0] e [0,1][0, 1])
  2. Ver em que intervalo (ou ambos), aplicando o TVI, se situa o valor que queremos provar que existe pela função ff.
  3. Repetir até ter um intervalo do tamanho desejado.
Exemplo

Tomemos a função gg, e queremos provar que tem um zero:

g:[0,1]R,g(x)=ex5x2g:[0, 1]\rightarrow \R\quad,\quad g(x)=e^x-5x^2

Descobrimos os valores de 00 e 11 e aplicamos o TVI:

g(0)=1>0g(1)=e5<0g(0)=1>0\quad g(1)=e-5<0

Logo, gg contém um zero no seu domínio, mas conseguimos melhorar o intervalo em que estamos a procurar, aplicando o método da bisseção.

g(0.5)=e54>0g(0.5)=\sqrt e - \frac 5 4 >0

Logo, pelo TVI, há pelo menos um zero de gg em [0.5,1][0.5, 1]. Mas podemos continuar a melhorar:

g(0.7)=e0.72.45<0g(0.7)=e^{0.7}-2.45 <0

Logo, há pelo menos um zero de gg em [0.5,0.7][0.5, 0.7].

Podemos repetir este processo até termos um intervalo suficientemente pequeno, de acordo com o que pretendermos.

Distância de um ponto a um conjunto compacto

Sejam XRX\subset\R um compacto e x0Rx_0\in\R. Chama-se distância de x0x_0 a XX ao mínimo da função:

d:XR,d(x)=xx0d:X\rightarrow \R\quad,\quad d(x)=|x-x_0|

o qual é sempre um número não negativo. A distância de x0x_0 a XX é nula se e só se x0Xx_0\in X.

Razão incremental

É útil estudar a variação de uma função para ser possível determinar os máximos e mínimos de uma função.

Assim, define-se a razão incremental de ff no intervalo [x,y][x,y], a partir da noção de taxa média de variação:

rf(x,y)=f(x)f(y)xyr_f(x,y)=\frac{f(x)-f(y)}{x-y}

Sendo ff uma função real de variável real, x,yDfxyx,y\in D_f\land x\ne y.

No entanto, esta razão incremental, como se trata de um valor médio, pode esconder variações locais da função.

Introduz-se assim um novo conceito, em que y=x0y=x_0 fixo e faz-se o limite da razão incremental quando xx0x\rightarrow x_0. Ao valor deste limite chama-se taxa de variação instantânea ou derivada de ff no ponto x0x_0:

rx0:VR(x0)R,rx0(x)=f(x)f(x0)xx0r_{x_0}:V_R(x_0)\rightarrow\R\quad,\quad r_{x_0}(x)=\frac{f(x)-f(x_0)}{x-x_0}

com RR+R\in\R^+.

Derivada de uma função num ponto

Sejam DfRD_f \subset \R, f:DfRf : D_f \rightarrow \R e x0int Dfx_0 \in \text{int } D_f. Chama-se derivada de ff no ponto x0x_0 ao limite

f(x0)=limxx0f(x)f(x0)xx0f'(x_0)=\lim_{x\rightarrow x_0}\frac{f(x)-f(x_0)}{x-x_0}

caso este exista.

  • Se o limite existir e for finito, a função diz-se diferenciável em x0x_0.
  • Se o limite existir em R\overline\R, ff diz-se derivável no ponto x0x_0.
  • Se o limite não existir, ff diz-se não derivável no ponto x0x_0.

Chama-se domínio de diferenciabilidade de ff ao conjunto Dfint DfD_{f'}\subset\text{int }D_f de todos os pontos onde a derivada de ff existe e é finita.

Atenção

Atenção que x0x_0 tem de pertencer ao interior do domínio de ff, isto é, não pode ser um ponto isolado.

Uma função diferenciável num ponto, é também, obviamente, derivável nesse ponto. O contrário (recíproco) não se verifica.

Outra forma de escrever este limite é com:

h=xx0f(x0)=limh0f(x0+h)f(x0)hh=x-x_0\quad f'(x_0)=\lim_{h\rightarrow 0}\frac{f(x_0+h)-f(x_0)}h
Exemplos de cálculos de derivadas

Exemplo 1

Como primeiro exemplo, considere-se a função polinomial definida por

f:RR,f(x)=a1x+a0,a1,a0Rx0R.f : \R \rightarrow \R , f(x) = a_1 x + a_0,\quad a_1, a_0 \in \R \wedge x_0 \in \R.

A derivada no ponto x0x_0 é o limite

f(x0)=limxx0(a1x+a0)(a1x0+a0)xx0=limxx0a1=a1.f'(x_0) = \lim_{x\rightarrow x_0} \frac{(a_1 x + a_0) − (a_1 x_0 + a_0)}{x - x_0} = \lim_{x\rightarrow x_0} a_1 = a_1.

Então, o domínio de diferenciabilidade de ff é R\R e a derivada em cada ponto x0x_0 R\in \R é

f(x0)=a1.f'(x_0) = a_1.

Constata-se, assim, que ff é uma função contínua e diferenciável em todo o seu domínio.

Exemplo 2

Considere-se, agora, a função g definida por

g:RR,g(x)=x3g : \R \rightarrow \R , g(x) = \sqrt[3]{x}

e x0Rx_0 \in \R. A derivada no ponto x0x_0 é o limite

g(x0)=limxx0x3x03xx0=limxx0xx0(xx0)(x23+x0x3+x023)=13x023,g'(x_0) = \lim_{x\rightarrow x_0} \frac{\sqrt[3]{x} − \sqrt[3]{x_0}}{x - x_0} = \lim_{x\rightarrow x_0} \frac{x − x_0}{(x - x_0)(\sqrt[3]{x^2} + \sqrt[3]{x_0 x} + \sqrt[3]{x^2_0})} = \frac{1}{3 \sqrt[3]{x^2_0}},

se x00x_0 \neq 0. No caso de x0=0x_0 = 0, o limite ainda existe, pois o denominador tem sinal fixo, mas vale ++ \infty, logo não é finito. Então, o domínio de diferenciabilidade de gg é R\{0}\R \backslash \{0\} e a derivada em cada ponto x0R\{0}x_0 \in \R \backslash \{0\} é

g(x0)=13x023.g'(x_0) = \frac{1}{3 \sqrt[3]{x^2_0}}.

A função gg é uma função contínua e derivável em R\R, mas só é diferenciável em R\{0}R \backslash \{0\}.

Exemplo 3

Para estudar um caso em que a derivada não existe porque a razão incremental tem dois limites finitos distintos, estuda-se a função definida por

g2:RR,g2(x)=xg_2 : \R \rightarrow \R, \quad g_2(x) = |x|

e x0Rx_0 \in \R. A derivada no ponto x0x_0 é o limite

g2(x0)=limxx0xx0xx0=limxx0x2x02(xx0)(x+x0)=x0x0,g'_2(x_0) = \lim_{x\rightarrow x_0} \frac{|x| - |x_0|}{x - x_0} = \lim_{x \rightarrow x_0} \frac{x^2 - x^2_0}{(x - x_0)(|x| + |x_0|)} = \frac{x_0}{|x_0|},

se x00x_0 \neq 0. Neste caso, para x0=0x_0 = 0 o limite não existe, pois os limites laterais correspondentes têm valores diferentes: o limite à direita vale 1 e o à esquerda vale −1. Então, o domínio de diferenciabilidade de g2g_2 é R\{0}\R \backslash \{0\} a a derivada em cada ponto x0R\{0}x_0 \in \R \backslash \{0\} é

g2(x0)=x0x0,g'_2(x_0) = \frac{x_0}{|x_0|},

ou seja, é 1 se x0>0x_0 > 0 e −1 se x0<0x_0 < 0. A função g2g_2 é uma função contínua em R\R mas só é diferenciável e derivável em R\{0}R \backslash \{0\}.

Exemplo 4

Por fim, estuda-se uma função que não é contínua, a função de Heaviside, definida por

h:RR,h(x)={1 se x>012 se x=00 se x<0,h : \R \rightarrow \R , \quad h(x) = \begin{cases} 1 \quad \text{ se } x > 0\\ \frac{1}{2} \quad \text{ se } x = 0\\ 0 \quad \text{ se } x < 0 \end{cases},

e x0Rx_0 \in \R. Se x0>0x_0 > 0, a derivada no ponto x0x_0 é o limite

f(x0)=limxx011xx0=0,f'(x_0) = \lim_{x\rightarrow x_0} \frac{1 - 1}{x - x_0} = 0,

já que a função verifica h(x)=1h(x) = 1 numa vizinhança de x0x_0.
De modo em tudo semelhante, se x0<0x_0 < 0, a derivada também é 0. Se x0=0x_0 = 0, tem-se

limx0+112x=+elimx0012x=+\lim_{x\rightarrow 0^+} \frac{1 - \frac{1}{2}}{x} = + \infty \quad {e} \quad \lim_{x\rightarrow 0^-} \frac{0 - \frac{1}{2}}{x} = + \infty

logo o limite que dá a derivada existe e é ++ \infty.
Então, o domínio de diferenciabilidade de hh é R\{0}\R \backslash \{0\} e a derivada em cada ponto x0R\{0}x_0 \in \R \backslash \{0\} é

h(x0)=0.h'(x_0) = 0.

A função hh é uma função contínua e diferenciável em R\{0}\R \backslash \{0\} e é derivável em R\R, apesar de ser descontínua em 0.

Reta Tangente ao gráfico de uma função

Sejam DfRD_f\subset\R, f:DfRf:D_f\rightarrow\R e x0int Dfx_0\in \text{int }D_f.

  • Se existir e for finita a derivada (diferenciável) de ff em x0x_0, f(x0)f'(x_0), chama-se reta tangente ao gráfico de ff no ponto (x0,f(x0))(x_0, f(x_0)) à reta de equação
yf(x0)=f(x0)(xx0)y-f(x_0)=f'(x_0)(x-x_0)
  • Se a derivada existir mas for infinita (derivável, mas infinita), a reta tangente define-se como sendo a reta vertical de equação
x=x0x=x_0
  • Se não existir derivada (não derivável), diz-se que não existe reta tangente ao gráfico de ff nesse ponto.

Ponto semi-interior

tip

Pontos com propriedades semelhantes às dos pontos interiores, mas só de um dos lados do ponto em causa.

Seja ARA\subset\R e x0Ax_0\in A.

  • Diz-se que x0x_0 é um ponto semi-interior à direita, de AA, se o intervalo [x0,x0+r[[x_0,x_0+r[ estiver contido em AA, para algum rR+r\in\R^+.
  • Diz-se que x0x_0 é um ponto semi-interior à esquerda, de AA, se o intervalo ]x0r;x0]]x_0-r;x_0] estiver contido em AA, para algum rR+r\in\R^+.
    Exemplo

    Considerando um intervalo A=[3,5]A=[3,5]. O conjunto dos pontos interiores deste conjunto é int A=]3,5[\text{int }A=]3,5[. No entanto, o ponto x=3x=3 é um ponto semi-interior à direita, pois [3,3+r[[3,3+r[ pertence a AA para algum rR+r\in \R^+. Do mesmo modo, o ponto x=5x=5 é um ponto semi-interior à esquerda, pois ]5r,5]]5-r, 5] pertence a AA para algum rR+r\in \R^+.

Semi-vizinhança

Tal como se falou de pontos semi-interiores, também de pode falar de semi-vizinhanças:

  • Chama-se de semi-vizinhança direita de x0x_0, de raio rR+r\in\R^+, ao intervalo [x0,x0+r[[x_0,x_0 + r[.
  • Chama-se de semi-vizinhança esquerda de x0x_0, de raio rR+r\in\R^+, ao intervalo ]x0r,x0]]x_0-r,x_0].

Derivada Lateral num ponto

Com o conceito de pontos semi-interiores, podemos assim definir as derivadas laterais num ponto:

Sejam DfRD_f\subset\R, f:DfRf:D_f\rightarrow\R e x0Dfx_0\in D_f.

  • Se x0x_0 é um ponto semi-interior à direita de DfD_f, chama-se derivada à direita de ff no ponto x0x_0 ao limite, caso este exista,
fd(x0)=limxx0+f(x)f(x0)xx0f'_d(x_0)=\lim_{x\rightarrow x_0^+}\frac{f(x)-f(x_0)}{x-x_0}
  • Se x0x_0 é um ponto semi-interior à esquerda de DfD_f, chama-se derivada à esquerda de ff no ponto x0x_0 ao limite, caso este exista,
fe(x0)=limxx0f(x)f(x0)xx0f'_e(x_0)=\lim_{x\rightarrow x_0^-}\frac{f(x)-f(x_0)}{x-x_0}

tip

Para pontos interiores, que também são semi-interiores, a derivada nesse ponto só existe se e só se existirem ambas derivadas laterais nesse ponto e estas tiverem o mesmo valor.

Propriedades da diferenciabilidade e derivabilidade

  • Existem funções que são contínuas e não são deriváveis, por exemplo o módulo.
  • Existem funções que são deriváveis e não são contínuas, por exemplo a função de Heaviside.
  • Todas as funções estudadas que são diferenciáveis num ponto também são contínuas nesse ponto.
  • A noção de diferenciabilidade é mais útil que a de derivabilidade.
  • Qualquer função diferenciável num ponto é necessariamente contínua nesse ponto.

Continuidade das diferenciáveis

Sejam DfR,f:DfRD_f\subset \R, f:D_f\rightarrow\R e x0int Dfx_0\in\text{int }D_f. Então, se ff é diferenciável em x0x_0, ff é contínua nesse ponto.
O contrário (recíproco) pode não se verificar.

Regras da Derivação

Sejam Df,DgRD_f,D_g\subset\R, f:DfRf:D_f\rightarrow\R, g:DgRg:D_g\rightarrow\R, x0(int Dfint Dg)x_0\in(\text{int }D_f\cap\text{int }D_g) e αR\alpha \in\R.

  • (f+g)(x0)=f(x0)+g(x0)(f+g)'(x_0)=f'(x_0)+g'(x_0)
  • (αf)(x0)=αf(x0)(\alpha f)'(x_0)=\alpha f'(x_0)
  • (fg)(x0)=f(x0)g(x0)+f(x0)g(x0)(f\cdot g)'(x_0)=f'(x_0)g(x_0)+f(x_0)g'(x_0)
  • Com f(x0)0f(x_0)\ne 0 ; (gf)(x0)=f(x0)g(x0)f(x0)g(x0)f2(x0)\displaystyle\bigg(\frac gf\bigg)'(x_0)=\frac{f(x_0)g'(x_0)-f'(x_0)g(x_0)}{f^2(x_0)}
  • Com f(a)>0f(a)>0 ; (fα)(a)=αf(a)fα1(a)(f^\alpha)'(a)=\alpha f'(a)f^{\alpha-1}(a)
  • Com f(a)int Dgf(a)\in\text{int }D_g ; (gf)(a)=g(f(a))f(a)(g\circ f)'(a)=g'(f(a))\cdot f'(a), em que ff tem de ser diferenciável em aa e gg tem de ser diferenciável em f(a)f(a).
Tabela com derivadas de funções comuns

Tabela Derivadas

Regra de derivação do produto de nn termos

Sejam nN2n\in\N_2, DfkRD_{f_k}\subset\R, fk:DfkRf_k:D_{f_k}\rightarrow\R, k=1,,nk=1,\dots,n e

x0k=1nint Dfkx_0\in\bigcap_{k=1}^n \text{int }D_{f_k}

Então, se fkf_k é diferenciável em x0x_0, k=1,,nk=1,\dots,n, o mesmo se sucede com f=k=1nfk\displaystyle f=\prod_{k=1}^nf_k,

tendo-se

f(x0)=(k=1nfk)(x0)=k=1n(fk(x0)j=1,jknfj(x0))f'(x_0)=\bigg(\prod^n_{k=1}f_k\bigg)'(x_0)=\sum_{k=1}^n\bigg(f'_k(x_0)\prod_{j=1,j\ne k}^n f_j(x_0)\bigg)

Resumidamente, o que a expressão acima simboliza é que, a derivada de um produto com nn fatores é uma soma de nn termos em que em cada um deles se deriva só um dos fatores, mantendo os restantes inalterados.

(fgh)(x0)=f(x0)g(x0)h(x0)+f(x0)g(x0)h(x0)+f(x0)g(x0)h(x0)(f\cdot g\cdot h)'(x_0)=f'(x_0)\cdot g(x_0)\cdot h(x_0)+f(x_0)\cdot g'(x_0)\cdot h(x_0)+f(x_0)\cdot g(x_0)\cdot h'(x_0)

Função Derivada

Função derivada de uma função

Sejam DfRD_f \subset \R e f:DfRf : D_f \rightarrow \R tais que o domínio de diferenciabilidade de ff, DfD_{f'}, é não vazio.
Chama-se função derivada de ff à função definida em DfD_{f'} que a cada xDfx\in D_{f'} faz corresponder a derivada de f nesse ponto.

Após a definição de função derivada, pode-se escrever as regras de derivação com uma notação mais leve, atendendo aos devidos domínios:

  • (f+g)=f+g(f+g)'=f'+g'
  • (αf)=αf(\alpha f)'=\alpha\cdot f'
  • (fg)=fg+fg(f\cdot g)'=f'\cdot g+f\cdot g'
  • (gf)=gfgff2\displaystyle \bigg(\frac g f\bigg)'=\frac{g'\cdot f - g\cdot f'}{f^2}
  • (fα)=αffα1(f^\alpha)'=\alpha\cdot f'\cdot f^{\alpha-1}
  • (gf)=(gf)f(g\circ f)'=(g'\circ f)\cdot f'
  • (f1)=1ff1(f^{-1})'=\frac 1{f'\circ f^{-1}} (a definir abaixo)

Função diferenciável num conjunto

Sejam DfRD_f \subset \R e f:DfRf : D_f \rightarrow \R. Diz-se que a função ff é diferenciável em ADfA \subset D_f se ff é diferenciável em x0x_0 para todo o x0Ax_0 \in A. Nesse caso, AA está contido no domínio de diferenciabilidade de ff.

Notação alternativa para derivadas

dfdx(x0)=f(x0)\frac{\mathrm{d}f}{\mathrm{d}x}(x_0)=f'(x_0)

Podemos assim reescrever a derivada da composta, considerando y=f(x)y=f(x) e z=g(y)z=g(y):

dzdx=dzdydydx\frac{\mathrm{d}z}{\mathrm{d}x}=\frac{\mathrm{d}z}{\mathrm{d}y}\cdot \frac{\mathrm{d}y}{\mathrm{d}x}
Exemplos de Resoluções de Derivadas

Exemplo 1

f:RR,f(x)=(1+x2)12.f : \R \rightarrow \R , \quad f(x) = (1 + x^2)^{12}.

O domínio de diferenciabilidade de ff é R\R e a sua função derivada é

f:RR,f(x)=12(1+x2)11(1+x2)=24x(1+x2)11.f' : \R \rightarrow \R , \quad f'(x) = 12(1 + x^2)^{11} (1 + x^2)' = 24x(1 + x^2)^{11}.

Neste exemplo usou-se a regra de derivação da potência.

Exemplo 2

Apresenta-se, agora, um exemplo em que é necessário aplicar diretamente o teorema da composta. Seja gg uma função diferenciável na origem e ff a função definida numa vizinhança do ponto 1 por

f(x)=g(x32x+1).f(x) = g(x^3 − 2x + 1).

Para calcular f(1)f'(1) faz-se

f(x)=g(x32x+1)(3x22),f'(x) = g'(x^3 − 2x + 1)(3x^2 − 2),

para xx numa vizinhança de 1, pelo teorema da composta. Então, f(1)=g(0)f'(1) = g'(0).
O mesmo problema pode ser formalizado usando a notação dydx\frac{dy}{dx}. Para tal, definem-se as variáveis y=x32x+1y = x^3 − 2x + 1 e z=g(y)z = g(y). Como se pretende calcular a derivada no ponto 1, tem-se x0=1x_0 = 1 e y0=0y_0 = 0. A cadeia de composição conduz à fórmula

dzdx(1)=dzdy(0)dydx(1)\frac{dz}{dx}(1) = \frac{dz}{dy}(0) \cdot \frac{dy}{dx}(1)

Como se tem

dzdy(y)=g(y)edydx(x)=3x22\frac{dz}{dy}(y) = g'(y) \quad \text{e} \quad \frac{dy}{dx}(x) = 3x^2 - 2

obtém-se

dzdx(1)=g(0).\frac{dz}{dx}(1) = g'(0).

Uma das vantagens da noção de função derivada é a de permitir intuitivamente transformar a noção de derivada num ponto, que é pontual numa noção local ou seja definida numa vizinhança do ponto.

Diferenciabilidade local

Teorema da Diferenciabilidade Local

Sejam DfRD_f\subset \R, f:DfRf:D_f\rightarrow \R e aint Dfa\in \text{int }D_f. Então ff é diferenciável em aa se e só se existe um rR+r\in\R^+ tal que fVr(a)f\big|_{V_r(a)} é diferenciável em aa.

Este teorema permite-nos transformar a noção de derivada num ponto numa noção local, isto é, que está definida numa vizinhança do ponto.

É de notar que qualquer função que seja diferenciável em todo o seu domínio tem que estar definida num conjunto aberto, visto que apenas se pode verificar a diferenciabilidade local em pontos do interior do domínio.

Classes de funções

Definição de função de classe CnC^n

Seja ff uma função e AA um subconjunto aberto do seu domínio. Diz-se que ff é uma função de classe CnC^n em AA, e escreve-se fCn(A)f\in C^n(A), se existe a derivada de ordem nn de ff em todos os pontos de AA e a função derivada de ordem nn é contínua em AA. Convenciona-se que a derivada de ordem 0 de uma função é a própria função.

Resumidamente, uma função se seja diferenciável duas vezes, será de classe C2C^2, se for diferenciável três vezes, será de classe C3C^3, etc. Se não for diferenciável mas for contínua, diz-se uma função de ordem C0C^0.

Assim:

  • Uma função de ordem C0C^0 em AA é uma função contínua em AA
  • Uma função de ordem C1C^1 em AA é uma função diferenciável em AA cuja função derivada é contínua em AA.
  • Para um dado aberto AA, C0(A)C1(A)C2(A)Cn(A)C^0(A)\supset C^1(A) \supset C^2(A)\supset \dots\supset C^n(A)\supset \dots
  • Se, para um dado aberto AA, ff é de classe CnC^n em AA para qualquer nN0n\in\N_0 diz-se que fC(A){f\in C^\infin (A)}.

Derivada da Inversa

Apresentam-se duas versões deste teorema - a versão forte, mais correta mas mais difícil de usar, e a versão fraca, mais fácil de aplicar.

Derivada da inversa - versão forte

Seja ff uma função estritamente monótona e contínua numa vizinhança de um ponto aRa\in\R tal que ff é diferenciável em aa e f(a)0f'(a)\ne 0. Então, f1f^{-1} existe numa vizinhança de aa, é diferenciável em f(a)f(a) e (f1)(f(a))=1f(a){(f^{-1})'(f(a))=\frac 1 {f'(a)}}.

A fórmula para a derivada pode ser apresentada de uma forma mais simples:

(f1)=1ff1(f^{-1})'=\frac 1{f'\circ f^{-1}}

Derivada da inversa - versão fraca

Seja ff uma função de classe C1C^1 numa vizinhança de aRa\in\R tal que f(a)0f'(a)\ne 0. Então, f1f^{-1} existe numa vizinhança de aa, na qual é diferenciável, e (f1)(f(a))=1f(a){(f^{-1})'(f(a))=\frac 1 {f'(a)}}.

Derivadas de Funções Elementares
  • (eu)=ueu(e^u)'=u'e^u
  • (logu)=uu\displaystyle(\log u)'=\frac {u'}u
  • (sinu)=ucosu(\sin u)'=u'\cdot \cos u
  • (cosu)=usinu(\cos u)'=-u'\cdot\sin u
  • (tgu)=ucos2u\displaystyle(\tg u)'=\frac {u'}{\cos^2u}
  • (cotgu)=usin2u\displaystyle(\cotg u)'=\frac{-u'}{\sin^2 u}
  • (arcsinu)=u1u2\displaystyle(\arcsin u)'=\frac {u'} {\sqrt{1-u^2}}
  • (arccosu)=u1u2\displaystyle (\arccos u)'=\frac{-u'}{\sqrt{1-u^2}}
  • (arctgu)=u1+u2\displaystyle(\arctg u)'=\frac{u'}{1+u^2}
  • (arcctgu)=u1+u2\displaystyle(\arcctg u)'=\frac{-u'}{1+u^2}
  • (shu)=uchu(\sh u)'=u'\ch u
  • (chu)=ushu(\ch u)'=u'\sh u
  • (thu)=uch2u\displaystyle(\th u)'=\frac{u'}{\ch^2u}
  • (cothu)=ush2u\displaystyle(\coth u)'=\frac{-u'}{\sh^2 u}
  • (argshu)=u1+u2\displaystyle(\arg\sh u)'=\frac{u'}{\sqrt{1+u^2}}
  • (argchu)=uu21\displaystyle(\arg\ch u)'=\frac{u'}{\sqrt{u^2-1}}
  • (argthu)=u1u2\displaystyle(\arg\th u)'=\frac{u'}{1-u^2}

Introdução ao teorema de Lagrange

Nas 2 primeiras páginas do PDF da aula 15, apresenta-se o estudo de uma função com um comportamento fora do normal, de onde se retira que:

  • Uma função pode ser diferenciável em R\R mas não ser de classe C1C^1, pois a sua derivada não é contínua.
  • Uma derivada de uma função ff num ponto pode ser positiva sem que seja crescente em alguma vizinhança desse ponto
  • Uma função derivada pode ser positiva num ponto mas trocar de sinal infinitas vezes em qualquer vizinhança desse ponto
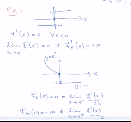
  • Pode existir fd(a)f'_d(a) e fe(a)f'_e(a) sem existir f(a+)f'(a^+) e f(a)f'(a^-) (como no exemplo abaixo)
  • Uma função pode ter derivada nula num ponto mas não ter nenhum extremo nesse ponto
Exemplo

Derivada lateral sem derivada +-

Extremo Local de uma função

Sejam DfRD_f\subset\R e f:DfRf:D_f\rightarrow \R e x0Dfx_0\in D_f.

  • x0x_0 diz-se um maximizante local de ff se existe algum rR+r\in\R^+ tal que f(x0)f(x_0) é o máximo de fVr(x0)Dff\big|_{V_r(x_0)\cap D_f}. Nesse caso, f(x0)f(x_0) diz-se um máximo local de ff. Também se diz que ff tem um máximo local em x0x_0.
  • x0x_0 diz-se um minimizante local de ff se existe algum rR+r\in\R^+ tal que f(x0)f(x_0) é o mínimo de fVr(x0)Dff\big|_ {V_r(x_0)\cap D_f}. Nesse caso, f(x0)f(x_0) diz-se um mínimo local de ff. Também se diz que ff tem um mínimo local em x0x_0.
  • x0x_0 diz-se um extremante local de ff se x0x_0 é um maximizante local ou um minimizante local de ff.
  • f(x0)f(x_0) diz-se um extremo local de ff se f(x0)f(x_0) é um máximo local de ff ou um mínimo local de ff.

Daqui podem-se tirar algumas conclusões:

  • Se ff tem um máximo, esse máximo também é um máximo local. O mesmo para o mínimo.
  • Existem funções que têm máximo local num ponto interior do seu domínio sem que tenham derivada nula nesse ponto. A noção de extremo não está dependente da noção de derivada.
  • Uma função pode ter derivada nula num ponto mas não ter nenhum extremo nesse ponto.
  • Existem funções com extremos locais que não são limitadas. Mesmo que sejam limitadas, o seu supremo/ínfimo pode não ser um dos seus máximos/mínimos locais.

Função regular num intervalo compacto

Sejam DfR,f:DfR e a,bDfD_f\subset\R, f:D_f\rightarrow\R \text{ e } a,b \in D_f tais que a<ba<b. Diz-se que ff é uma função regular em [a,b][a, b] se ff é contínua em [a,b][a,b] e diferenciável em ]a,b[]a,b[.

Teorema de Rolle (e aplicações)

Teorema de Rolle

Seja ff uma função regular num intervalo [a,b][a,b] tal que f(a)=f(b)f(a)=f(b). Então, existe c]a,b[c\in]a,b[ tal que f(c)=0f'(c)=0.

É fácil compreender este teorema, se se observar o seguinte esquema:

Teorema de Rolle

Este teorema garante que existe pelo menos um ponto c, no entanto, se a função for constante, por exemplo, existem infinitos pontos que satisfazem esta condição.

Este teorema pode ser usado para algo bastante mais útil: podemos afirmar que, entre dois zeros consecutivos de ff', existe, no máximo, um zero de ff.

Exemplo do uso desta propriedade

Considere-se, por exemplo, a função polinomial definida por

f(x)=2x3+15x2+36x+12.f(x) = 2x^3 + 15x^2 + 36x + 12.

Dado que se trata de uma função polinomial do terceiro grau, sabe-se que tem no máximo três zeros, e que tem pelo menos um. Não se sabe, no entanto, se há um, dois ou três e onde os zeros estão colocados.
No entanto, é fácil determinar a derivada de ff, que é a função polinomial definida por

f(x)=6x2+30x+36=6(x2+5x+6)f'(x) = 6x^2 + 30x + 36 = 6(x^2 + 5x + 6)

Recorrendo à fatorização do polinómio do segundo grau conclui-se que ff' tem exatamente dois zeros, nos pontos −2 e −3. Como f()=,f(3)<0,f(2)<0 e f(+)=+f(- \infty) = −\infty , f(−3) < 0 , f(−2) < 0 \text{ e } f(+\infty) = +\infty , a aplicação do Teorema de Rolle diz que existem:

  • no máximo, um zero no intervalo ],3[] − \infty, −3[;
  • no máximo, um zero no intervalo ]3,2[] − 3, −2[;
  • no máximo, um zero no intervalo ]2,+[] − 2, +\infty[.
    Usando, agora, o TVI em conjunto com o Teorema de Rolle verifica-se que, para uma função que tem no máximo um zero num intervalo, esse zero existe se e só se a função troca de sinal nos extremos do intervalo. Conclui-se, então, que não existe nenhum zero nos dois primeiros intervalos pelo que a função só tem um zero e ele se encontra no intervalo ]2,+[] − 2, + \infty[.

Como é evidente que f(0)>0f(0) > 0, pode até afirmar-se que o único zero de ff se encontra no intervalo ]2,0[] − 2, 0[, usando exatamente o mesmo raciocínio. Se fosse necessário mais precisão na colocação do zero poder-se-ia aplicar o método da bissecção, já apresentado, para diminuir o comprimento do intervalo onde ele se encontra.
Verificou-se, assim, que o Teorema de Rolle pode revelar-se uma ferramenta crucial na determinação do número de zeros de uma função, bem como na localização desses zeros.

Teorema de Darboux

Teorema de Darboux

Seja ff uma função regular num intervalo [a,b][a,b] tal que existem as derivadas laterais fd(a)=k1 e fe(b)=k2f'_d(a)=k_1 \text{ e } f'_e(b)=k_2 com k1,k2Rk_1,k_2\in\R e k1k2k_1\ne k_2. Então, para qualquer kk entre k1k_1 e k2k_2 existe um ponto c]a,b[c\in ]a,b[ tal que f(c)=kf'(c)=k.

(A demonstração encontra-se no PDF da aula 15, página 7)

Deste teorema, pode concluir-se que:

  • O Teorema de Darboux é parecido ao Teorema do Valor Intermédio, mas para a derivada e sem exigir continuidade desta (no entanto, exige continuidade da função original).
  • Qualquer derivada, mesmo que não contínua, tem a propriedade do valor intermédio.
  • Qualquer derivada monótona num intervalo é contínua nesse intervalo.

Teorema de Lagrange

Teorema de Lagrange

Seja ff uma função regular num intervalo [a,b][a,b]. Então, existe um c]a,b[c\in]a,b[ tal que f(c)=f(b)f(a)ba\displaystyle f'(c)=\frac{f(b)-f(a)}{b-a}.

Teorema de Lagrange

Fórmula dos acréscimos finitos

Podemos reescrever o Teorema de Lagrange da seguinte forma:

f(c)=f(b)f(a)baf(c)(ba)=f(b)f(a)f(a)=f(b)f(c)(ab)f(a)=f(b)+f(c)(ab)f'(c)=\frac{f(b)-f(a)}{b-a}\Leftrightarrow f'(c)(b-a)=f(b)-f(a)\Leftrightarrow\\\Leftrightarrow -f(a)=-f(b)-f'(c)(a-b)\Leftrightarrow f(a)=f(b)+f'(c)(a-b)

Substituindo aa por xx e bb por x0x_0:

f(x)=f(x0)+f(c)(xx0)f(x)=f(x_0)+f'(c)(x-x_0)

Se considerarmos um xx muito próximo de x0x_0, isto é, um Δx=xx0\Delta x=x-x_0 muito pequeno e que a derivada de ff varia com suficiente lentidão para f(c)f(x0)f'(c)\approx f'(x_0). Então:

f(x0+Δx)f(x0)+f(x0)Δxf(x_0+\Delta x)\approx f(x_0)+f'(x_0)\Delta x
Exemplo

Pode-se usar esta fórmula para, por exemplo, calcular o valor aproximado de 102\sqrt {102}.

Arranja-se assim uma função f(x)=xf(x)=\sqrt x e divide-se 102=100+2102=100+2, isto é, x0=100x_0=100 e Δx=2\Delta x = 2.

Então:

f(x0)=f(100)=100=10f(x)=(x)=12xf(x0)=f(100)=12100=120f(x_0)=f(100)=\sqrt{100}=10\\ f'(x)=(\sqrt x)'=\frac 1 {2\sqrt x}\\ f'(x_0)=f'(100)=\frac 1 {2\sqrt {100}}=\frac 1 {20}

Aplicando assim a Fórmula dos Acréscimos Finitos:

f(x0+Δx)f(x0)+f(x0)Δx10210+120×2=10.1f(x_0+\Delta x)\approx f(x_0)+f'(x_0)\Delta x\\ \sqrt {102}\approx 10 + \frac 1 {20}\times 2=10.1

O que é uma aproximação bastante boa, visto que o valor de 10210,099504938\sqrt{102}\approx 10,099504938.

Consequências do Teorema de Lagrange

  • Se a derivada de uma função existe e é nula num intervalo aberto (não se aplica a pontos), essa função é constante nesse intervalo.
  • Se duas funções têm a mesma derivada num intervalo, então a diferença entre elas é uma constante, nesse intervalo.
  • Se f(x)0f'(x)\ge 0 num intervalo (relembra-se o exemplo nas duas primeiras páginas do PDF em anexo, que mostra que isto não é válido para pontos), então ff é crescente nesse intervalo. Se f(x)0f'(x)\le 0 num intervalo, então ff é decrescente nesse intervalo.
  • Se ff é contínua em [a,a+r[[a,a+r[ e diferenciável em ]a,a+r[]a,a+r[ para algum rR+r\in\R^+, e, para além disso, existe f(a+)f'(a^+), então existe fd(a)f'_d(a). No entanto, pode existir fd(a)f'_d(a) sem existir f(a+)f'(a^+). O mesmo se aplica para a derivada lateral à esquerda.
  • Se ff é contínua num intervalo ]a,b[c]a,b[\ni c e diferenciável em ]a,b[\{c}]a,b[\backslash\{c\}, se existir o limite de ff' quando xcx\rightarrow c por valores xcx \ne c então ff é diferenciável em cc e ff' é contínua em cc.
  • Se ff é diferenciável numa vizinhança de x0x_0 e
    limxx0f(x)(xx0)n=0\lim_{x\rightarrow x_0}\frac{f'(x)}{(x-x_0)^n}=0
    então,
    limxx0f(x)f(x0)(xx0)n+1=0\lim_{x\rightarrow x_0}\frac{f(x)-f(x_0)}{(x-x_0)^{n+1}}=0
Exemplos - Aplicação do Teorema de Lagrange

Exemplo 1

Considere-se, então a função

f:RR,f(x)=xex.f : \R \rightarrow \R , f(x) = x e^x.

O domínio de diferenciabilidade de ff também é R\R e a sua derivada pode ser calculada por aplicação das regras de derivação, vindo

f:RR,f(x)=ex+xex=(x+1)ex.f': \R \rightarrow \R , \quad f'(x) = e^x + x e^x = (x + 1) e^x.

Então, a derivada é não negativa no intervalo [1,+[[−1, +\infty[ e, pelo Teorema de Lagrange (TL), ff é crescente nesse intervalo. Por outro lado ff' é não positiva no intervalo ],1]] − \infty, −1] pelo que ff é decrescente nesse intervalo. Conclui-se, portanto que, como ff é contínua em −1, tem um mínimo nesse ponto.

Exemplo 2

Como segundo exemplo, utiliza-se o TL para provar que, para qualquer x>0x > 0 se tem que

ex>1+x.e^x > 1 + x.

Quando se pretende utilizar o TL para algo deste tipo, o essencial é escolher bem qual a função e qual o intervalo a que se vai aplicar o teorema. Se estas escolhas forem bem feitas, o teorema faz, geralmente, o resto do trabalho, de modo eficiente.
No caso em estudo, o mais natural é aplicar o teorema à função definida por h(x)=exh(x) = e^x no intervalo [0,x][0, x]. Assim, irão aparecer na expressão que se obtém, exe^x e 1, da função calculada nos extremos do intervalo, e x0x − 0, do denominador da expressão dada pelo TL.
Seja, então, x>0x > 0 e hh a função definida no intervalo [0,x][0, x] por h(x)=exh(x) = e^x. hh é uma função regular no intervalo [0,x][0, x] pelo que o teorema de Lagrange permite afirmar que existe um c]0,x[c \in ]0, x[ tal que

ec=exe0x0eec=ex1x.e^c = \frac{e^x − e^0}{x-0} \leftrightarrow \quad \text{e} \quad e^c = \frac{e^x −1}{x}.

Como, para cR+,ec>1c\in \R^+, e^c > 1 vem

ex1x>1ex>x+1,\frac{e^x −1}{x} > 1 \leftrightarrow e^x > x + 1,

pois x>0x > 0.


PDFs: