Edit page

Equações de Diferenças Finitas

Problema da Torre de Hanói

Chamemos a hnh_n a função que nos diz o número de movimentos necessários para transportar nn discos de uma torre para outra.

h0=0hn=2hn1+1h_0=0\\ h_n=2h_{n-1}+1

A que se chama uma equação às diferenças finitas. Os coeficientes que multiplicam os termos da sucessão são números — não são dependentes de nn. Diz-se então uma equação linear. Nós queremos usar o método das funções geradoras para aprender a resolver equações lineares (escrevemos termos da sucessão à custa de outros termos).

Passos

hk=2hk1+1k=1+hkzk=2zk=1+hk1zk1+k=1+zkh_k\quad= 2\qquad h_{k-1}\quad+1\rightarrow \smartcolor{red}{\sum_{k=1}^{+\infty}}h_k\smartcolor{red}{z^k}=2\smartcolor{red}{z\sum_{k=1}^{+\infty}}h_{k-1}\smartcolor{red}{z^{k-1}}+\smartcolor{red}{\sum_{k=1}^{+\infty}z^k}

Note-se que o índice dos somatórios deve ser o menor inteiro para o qual a expressão faz sentido (1, neste caso). Também se deve ter a potência de zz coincidente com a ordem da sucessão (valor para nn). Note-se que para o último somatório:

k=1+zk=11z1=z1z\sum_{k=1}^{+\infty}z^k=\frac{1}{1-z}\smartcolor{red}{-1}=\frac z {1-z}

onde o assinalado a vermelho vem devido ao índice do nosso somatório (z0=1z^0=1).

Agora, para o somatório do meio:

zk=1+hk1zk1=zj=0hjzj=zH(z)z\sum_{k=1}^{+\infty}h_{k-1}z^{k-1}=z\sum_{j=0}^{\infty}h_jz^j=zH(z)

onde HH é a função geradora de hnh_n.

logo, finalmente, vem:

hn=2hn1+1Hn=2zHn+z1zHn=z(1z)(12z)h_n=2h_{n-1}+1\quad\Leftrightarrow \quad H_n=2zH_n+\frac{z}{1-z}\\ \longrightarrow H_n=\frac{z}{(1-z)(1-2z)}

Com a fórmula nesta escrita, não conseguimos concluir nada acerca da sucessão hnh_n. Para isso, decompõe-se as frações com o método de Hermite, ou cover-up method:

z(1z)(12z)=A1z+B12z\frac{z}{(1-z)(1-2z)}=\frac {\Alpha}{1-z}+ \frac{\Beta}{1-2z}

Para descobrir o coeficiente A\Alpha, tapa-se o respetivo denominador na fração inicial e avalia-se a expressão resultante no zero desse denominador, do seguinte modo:

A=z12zz=1=112=1\Alpha=\left|\frac z{1-2z}\right|_{z=1}=\frac 1 {1-2}=-1
B=z1zz=12=12112=1\Beta=\left|\frac z{1-z}\right|_{z=\frac 1 2}=\frac {\frac 1 2} {1-\frac 1 2}=1

logo:

z(1z)(12z)=11z+112z\frac{z}{(1-z)(1-2z)}=\frac {-1}{1-z}+ \frac{1}{1-2z}

donde se tira a conclusão que:

Hn=11z+112zhn=1+2nH_n=\frac {-1}{1-z}+ \frac{1}{1-2z}\longrightarrow h_n= -1 + 2^n

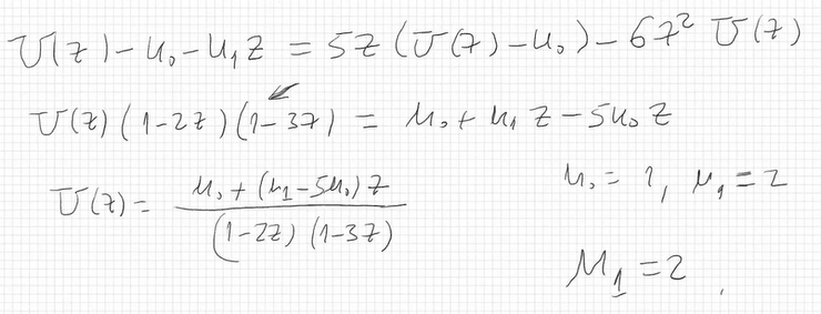
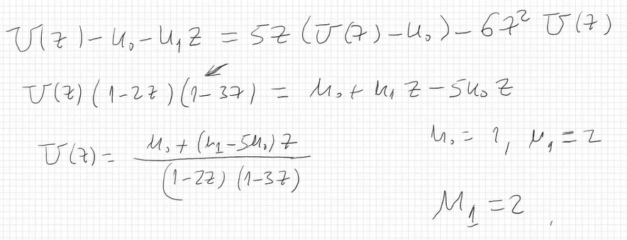
Abaixo segue outro exemplo de raciocínio análogo, à exceção de que nos dão os dois primeiros termos da sucessão unu_n:

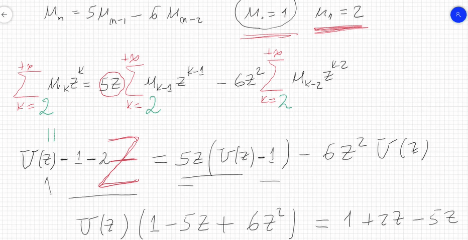
Exercício de raciocínio análogo ao anterior

Parte 2

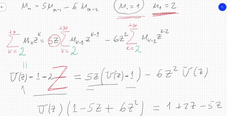
E se não nos dessem os primeiros termos?

Exemplo anterior mas sem os primeiros termos

Exemplo 1 - Aumento populacional

Primeiro exemplo - Aumento populacional

Parte 2

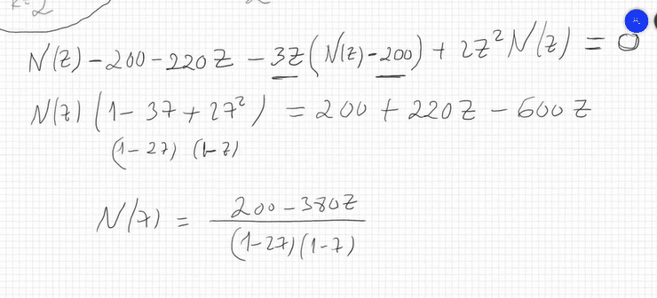
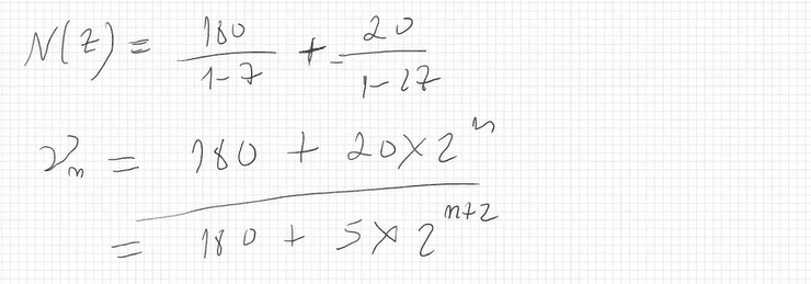
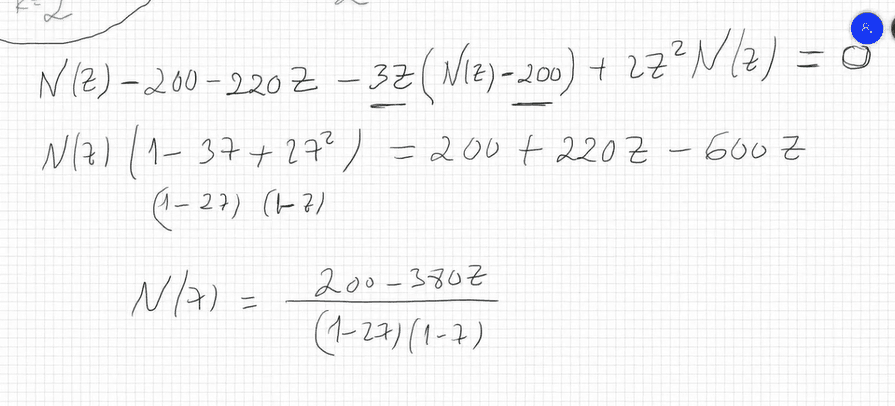
Parte 3

Parte 4